메인 콘텐츠 바로가기
더불어민주당을
소개합니다.
뒤로가기
소개
당대표
조직도·위치
강령·당헌·당규·윤리규범
우리의 발자취, 대통령
우리의 발자취
우리의 대통령
사람들
중앙당
국회의원
시도당·지역구
지방자치단체
로고·심볼
소식
논평·브리핑
모두발언
보도자료
뉴스레터(외신)
정책브리핑
공지사항
일정
콘텐츠
홍보자료실
온라인자료실
현수막자료실
선거자료실
포토 갤러리
포토갤러리
원내 자료실
원내 자료실
국감 자료실
정책 자료실
서식 자료실
팩트체크
당원
입당신청
복당신청
탈당신청
전적신청
당원정보 변경
민주e아카데미
민주응답센터
작게
100
%
크게
통합검색 열기
전체메뉴 열기
검색어를 입력하세요
검색
#더불어민주당
#블루웨이브
검색창 닫기
전체메뉴
블루웨이브
더불어민주당
당원가입
바로가기
당비영수증
발급
바로가기
교육이수증 출력
바로가기
민주응답센터
바로가기
더불어민주당
당원가입
바로가기
당비영수증
발급
바로가기
교육이수증 출력
바로가기
민주응답센터
바로가기
Home
콘텐츠
국감자료실
점자파일 내려받기
전자점자 뷰어보기
국감자료실
산업통상자원중소벤처기업
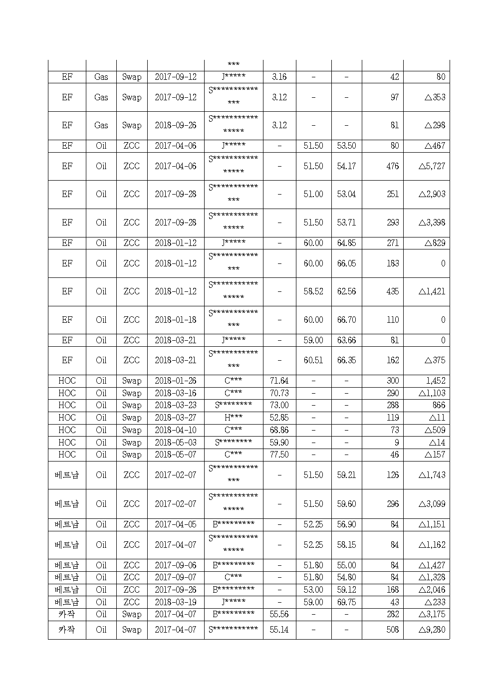
[국회의원 이장섭]20조 빚더미로 완전자본잠식 석유공사, 고유가 특수에도 1조여원 수익 기회 날려
게시자 : 이장섭
조회수 : 105
게시일 : 2022-10-20 17:22:32
221020_이장섭의원_보도자료_20조_빚더미로_완전자본잠식_석유공사,_고유가_특수에도_1조여원_수익_기회_날려.hwp
공유
공유하기
닫기
페이스북
트위터
카카오톡
URL 복사
목록
다음 글
[국회의원 윤영덕] 빈번히 일어나는 병원정보 보안 침해사건
96조회
2022-10-20
이전 글
[국회의원 오영환] 6년간 탈북민 범죄자 셋 중 한명은 마약사범 국내 적응체계 개선해야
107조회
2022-10-20
share url